전송선로는 영어로 transmission line으로 말 그대로 신호가 지나가는 선을 의미합니다.

 

회로이론에서 보던 이런 선과 동일합니다.

 

그런데 왜!!! 어려운 이론을 사용해서 복잡하게 만들까요?

 

 

간단한 LED회로 (출처 :깜시고양이 (daum.net))

 

우리가 사용하는 신호가 지나가는 라인을 잘 살펴보면 이런 간단한 구리 도선에도 비저항(로)이 존재해 저항 성분이 존재하고 흐르는 전류에 의한 자체 인덕턴스, 그라운드와 사이에 금속 배치로 인한 커패시턴스, 컨덕턴스가 존재합니다.

 

전송선로의 기생성분 모델

그런데 실제 회로를 디자인할 때 사용하는 신호가 교류(AC) 이기 때문에 신호의 주파수(f)가 증가함에 따라 신호가 지나가는 선의 기생 성분들이 큰 임피던스를 가져 신호를 반사하기도 하고 공진을 일으켜 높은 주파수에서 동작하는 회로를 설계하기 위해서는 필수적으로 이 성분들을 고려해줘야 합니다.

 

주파수에 따른 임피던스

 

매우 정확한 결과를 얻기 위해서는 전자기학에서 배운 맥스웰 방정식을 사용해 모든 기생 성분을 구해야 합니다.

하지만 회로가 복잡해질수록 계산의 양이 어마어마 해지기 때문에 보다 쉬운 해석 방법을 찾았고

복잡한 구조를 알아보기 쉬운 익숙한 회로적 소자(lumped element)로 모델링해놓은 것이 전송선로 모델링입니다.

 

 

 

 


 

 

 

대표적인 예로 PDN(Power distribution network)에서 사용이 됩니다.

PDN이란 전력이 전송되는 데에 영향을 미치는 회로와 체계를 분석하고 개선하는 분야입니다.

 

 

PDN모델 (출처 passive-components.eu)

 

 

 회로 PDN은 전력을 공급하는 VRM(Voltage Regulator module)부터 IC chip까지 도달하기전에 있는 pcb line, bond wire, 연결부위(Interconnects)와 기생 성분들을 분석하고 원하는 전력(Power)이 부하(load)에 도달할 수 있게 합니다.

 

 

PDN의 임피던스 정보 (출처 :www.signalintegrityjournal.com)

 

 

실제로 간단해 보이는 이런 회로를 분석해보면 이러한 임피던스 스팩트럼이 나타나게 됩니다.

저렇게 공진에 의해 임피던스가 커지게 되면 회로에 흐르는 전류와 곱해져 전력 손실이 발생하게 됩니다.

따라서 이를 분석해 목표 임피던스(Target Impedance) 이하로 낮추는 설계를 하게 됩니다.

 

 

 


 

 

 

위에서 살펴본 전송선로 모델을 통해 신호가 진행할 때의 전압, 전류의 형태를 알아볼 수 있습니다.

 

전송선로에서의 전압,전류

 

간단한 회로이론을 이용해 V(z)와 I(z)의 변화량을 구해보면 다음과 같습니다.

 

 

 

 

양 좌우 변을 한번 더 미분한다면 다음과 같은 형태가 나옵니다. 

 

 

 

 

이는 공학 수학에서 배운 계수가 상수인 이차 선형 미분방정식(2 order ODE)을 통해 계수가 γ인 V(z), I(z)를 구할 수 있습니다.

 

 

 

 

따라서 V(z), I(z)는 다음과 같이 두항으로 나눠지고 이때 V0+는 정방향으로 진행하는 신호의 전압, V0-는 반사되어 반대방향으로 진행하는 전압임을 알 수 있습니다.

 

 

 

 

상수 γ는 허수를 포함함으로 실수항과 허수항으로 나누어서 표현하면 아래와 같이 나타낼 수 있고

여기서 α는 파동이 진행함에 따라 진폭이 감쇠되는 정도를 나타내는 감쇠 계수(attenuation constant)

β는 파동이 진행함에 따라 위상이 변하는 정도를 나타내는 위상 상수(phase constant)라고 합니다.

 

 

 


 

 

 

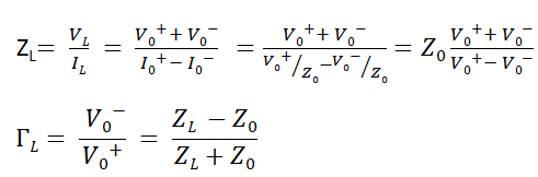
조금 더 나아가면 전송선로의 어느 지점이든 동일한 전압과 전류의 비인 특성 임피던스를 구할 수 있습니다.

 

 

전송선로의 특성임피던스

 

 

위에서 보았던 식들에서 반사파가 없는 상황 즉 V0- = 0을 가정한 후에 정리하면

다음과 같이 특성 임피던스 Z0를 구할 수 있습니다.

 

 

특성 임피던스 Z0 유도

 

 

 

이 특성 임피던스를 이용해 임피던스가 달라질 때 신호가 얼마나 반사되는지 나타내는 반사 계수를 구할 수 있습니다!

 

 

 

 

전송선로 위에서 어느 지점이든 전압과 전류의 비가 Z0로 일정하기 때문에 다음과 같이 ZL이 Z0로 정리됩니다.

 

 

반사계수 유도

 

반사 계수 ΓL은 입력된 신호가 얼마나 반사되는지를 나타내는 척도 이므로 반사된 전압을 입력 전압으로 나누어주면 최종적으로 로드 임피던스(Load Impedance) ZL과 특성 임피던스 (Characteristic Impedance)의 관계로 주어집니다.

 

 

 


 

 

전송선로의 활용!! 

 

반사 계수는 로드 임피던스와 특성 임피던스의 관계식으로 정해짐으로 신호가 진행하는 회로에서 전송선로를 모델링을 통해 특성 임피던스를 구하게 된다면 신호가 인가되어 로드에서 최소한의 반사가 일어나게 설계할 수 있습니다. 

 

이렇게 임피던스를 맞춰 회로를 최적화하는 작업을 임피던스 매칭이라고 하고 인덕터와 커패시터를 직병렬로 추가해 매칭 네트워크를 만들기도 합니다.

 

또 위의 예시와 같이 PDN에서 신호 경로에 있는 기생 성분들을 파악하여 문제 부분을 해결하고 안정적인 파워 공급을 할 수 있도록 도와줍니다.

 

 

 

 

궁금한 점이나 잘못된 점 있으면 댓글 남겨주세요~

도움이 되셨다면 공감 버튼 부탁드립니다!

+ Recent posts